在環境監測工作實踐中,一般都會應用到多種多樣的環境監測儀器,所以強化環境監測儀器的管理是實現現場質量控制的關鍵所在,在工作過程中應該對每一臺環境監測儀器進行登記、做好相關的標注,建立檔案。
為了測試環境監測系統的實際使用性,選取對濟南一工業產業園周圍區域進行環境監測,將連續多天監測的結果繪制成折線圖,環境的溫度和濕度測量結果如下圖所示。
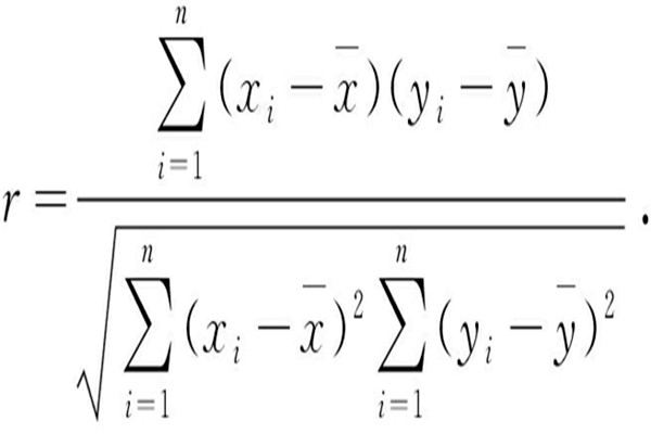
?在室內環境監測實踐中,Pearson評價法是一種準確度量兩個變量之間的關系密切程度的統計學方法。對于變量x和y,分別可通過實驗或模擬得到兩組數據,記為(xi,yi)(i=1,2,…,n),則相關系數...
?現如今,空氣質量實時監測行業迅速崛起,一經提出便迅速被落實,行業發展很快。那空氣質量實時監測問題是基于什么樣的背景下提出的呢?現在的應用實踐狀況如何呢?
現如今,環境監測成為一項很重要的工作,是環境保護與治理的基礎。而環境監測工作的實現與傳感技術是分不開的,環境監測公司都在用。下面三水智能化就國內傳感技術的現狀為大家分析一下吧。