在理論設計中,全炳浩在環境監測系統的研究中采用的消解方案足以確保K2S2O8在消解反應中完全分解,但在實驗中發現,使用不同廠家生產的K2S2O8試劑,實驗結果差異較大,因而導致消解后的水樣中可能存在K2S2O8殘留。所以,考察了微傳感器對含有K2S2O8殘留的消解水樣的響應情況。對比了微傳感器對同一總氮標樣,經過消解處理后,加入和不加入微量K2S2O8兩種情況下的電化學響應曲線。
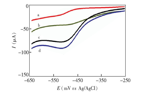
經計算可知,環境監測系統的本消解方案中,消解處理10mL水樣需要K2S2O8的量為0.2g,假設在消解不完全的情況下,有5%K2S2O8殘留,則消解水樣中K2S2O8的含量即為10mg。測試中,配制4個總氮試樣,其中水樣1和水樣2的濃度為1mg/L(TN,以N計,下同),水樣3和水樣4的濃度為4mg/L,經消解處理后,向水樣2和水樣4中各加入10mgK2S2O8,調節pH值后,使用微傳感器對4個水樣進行監測,結果如圖所示。

微傳感器的電化學響應曲線在-500mV處仍然表現出width=29,height=17,dpi=110的還原峰;同時,在加入微量K2S2O8的水樣中,傳感器的電化學響應曲線都出現明顯下移,使響應電流信號增大。這表明微量的K2S2O8殘留也會顯著增加傳感器對同一濃度總氮試樣的響應電流值,使測試結果偏離真實值。因此,在環境監測系統總氮監測過程中,必須確保K2S2O8試劑的純度、稱量配制精度和消解槽中的實際溫度是否穩定在120℃,以保證其在消解過程中完全分解。